首页
基金会简介
基金会简介
章程
组织机构
历任领导及理事会合影
历史回顾
会徽含义
管理制度
公益项目
公益项目
公开募捐活动
新闻中心
通知公告
机构动态
科普知识
政策解读
党组织建设
信息公开
年度工作报告全文
审计报告
个人汇款爱心捐款
关联方信息
捐赠方查询
公益慈善项目收入与支出
秘书长简介
首页
基金会简介
基金会简介
章程
组织机构
历任领导及理事会合影
历史回顾
会徽含义
管理制度
公益项目
公益项目
公开募捐活动
新闻中心
通知公告
机构动态
科普知识
政策解读
党组织建设
信息公开
年度工作报告全文
审计报告
个人汇款爱心捐款
关联方信息
捐赠方查询
公益慈善项目收入与支出
秘书长简介
信息公开
首页
>
信息公开
>
个人汇款爱心捐款
2025年2月爱心捐赠
2025-03-03
2025年12月爱心捐赠
2026-01-05
2025年10月爱心捐赠
2025-11-03
2025年4月爱心捐赠
2025-05-06
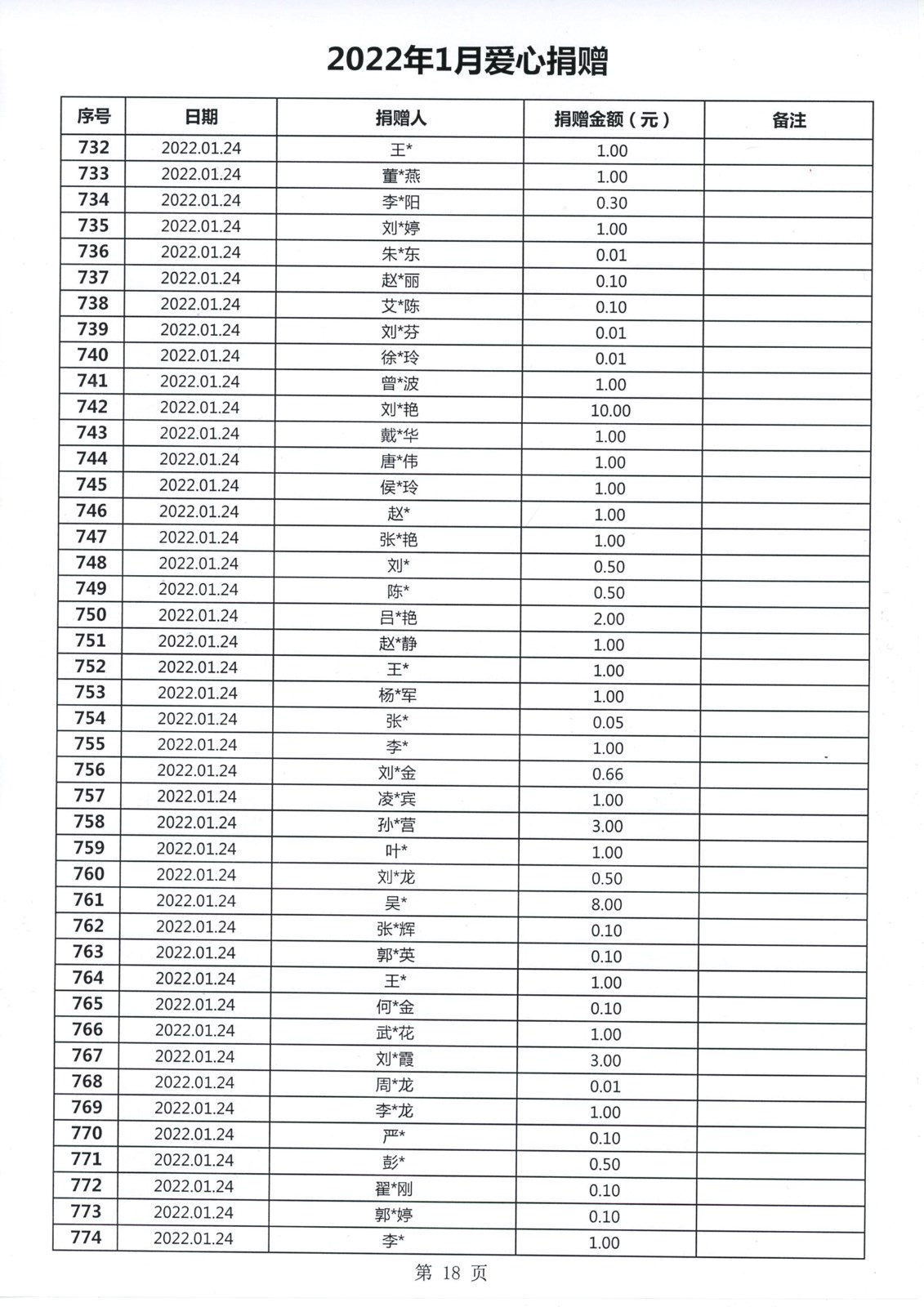
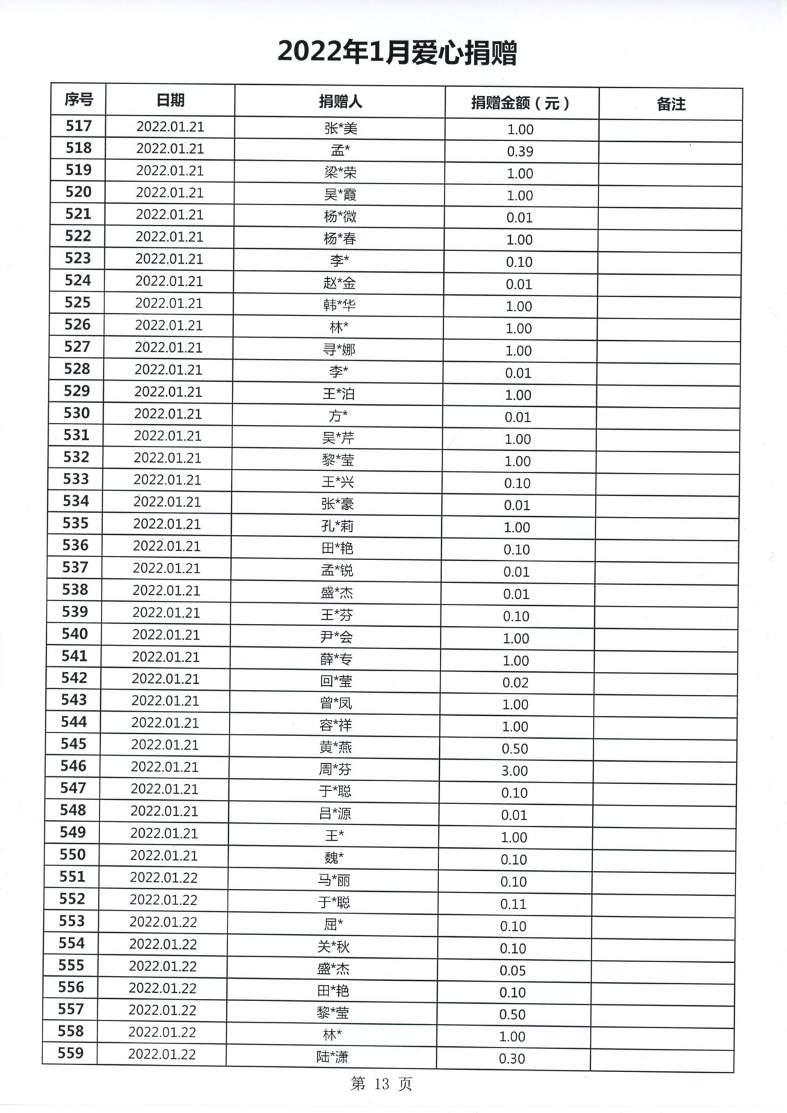
2022年1月爱心捐款
日期:2022-01-31 文章来源:中国医学基金会
上一篇:2022年2月爱心捐款
下一篇:2021年12月爱心捐赠
返回
我要
捐款